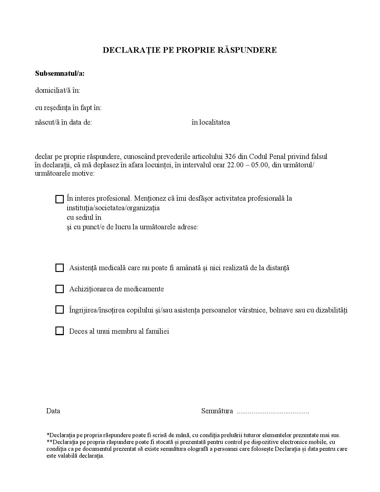
Carantina de noapte va fi în vigoare de la ora 22.00, față de 23.00, cum este acum, astfel că până la ora 05.00 se va putea ieși din casă doar pentru motive întemeiate și doar în baza declarației pe propria răspundere, potrivit hotărârii de miercuri a Comitetului Național pentru Situații de Urgență, prin care se prelungește starea de alertă în România.
De asemenea, se propune limitarea gradului de ocupare a spațiilor de cazare din hoteluri sau pensiuni la cel mult 70% din capacitatea maximă a acestora, în mai multe stațiuni în care se practică schiul sau alte sporturi de iarnă.
Intră în vigoare din 14 martie, dată de la care va fi prelungită starea de alertă în România.


